TPGIT - MATHEMATICS

Sunday, 31 March 2013

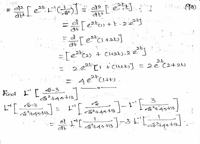
Inverse Laplace Transforms





























































Posted by TPGIT - MATHEMATICS at 10:33 No comments:
Email ThisBlogThis!Share to XShare to FacebookShare to Pinterest
Newer Posts Older Posts Home
Subscribe to: Comments (Atom)

Blog Archive

  • ▼  2013 (9)
    • ►  February 2013 (2)
    • ▼  March 2013 (7)
      • Method of Variation of parameters
      • Simultaneous Linear Differential Equations
      • Laplace transforms of standard functions-s -First ...
      • Laplace Transform of f(t) / t
      • Laplace transform of integrals-Evaluation of integ...
      • Laplace Transform of Periodic Functions
      • Inverse Laplace Transforms
  • ►  2015 (2)
    • ►  August 2015 (2)

Pages

  • Differential equations
  • Laplace Transforms
My photo
TPGIT - MATHEMATICS
Vellore, Tamil Nadu, India
View my complete profile
Simple theme. Powered by Blogger.