TPGIT - MATHEMATICS
Wednesday, 5 August 2015
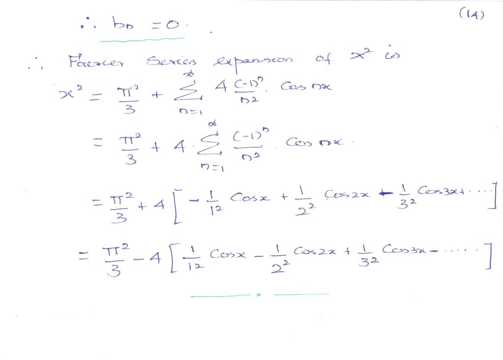
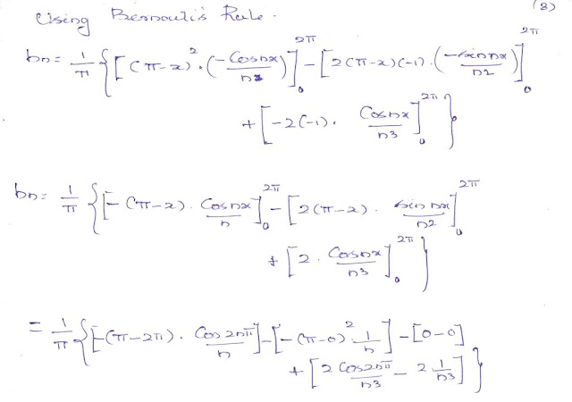
Fourier Series
No comments:
Post a Comment
Newer Post
Older Post
Home
Subscribe to:
Post Comments (Atom)
No comments:
Post a Comment